合作客戶/
拜耳公司 |
同濟大學 |
聯合大學 |
美國保潔 |
美國強生 |
瑞士羅氏 |
相關新聞Info
推薦新聞Info
-
> 二甲亞砜與二甲苯異構體混合物的體積收縮與表面張力降低效應(二)
> 二甲亞砜與二甲苯異構體混合物的體積收縮與表面張力降低效應(一)
> 表面能與表面張力對凍干制劑中“小瓶霧化”現象的影響機制研究
> 新型懸滴實驗系統的研制與二甲基亞砜/甲醇混合物表面張力測量(二)
> 新型懸滴實驗系統的研制與二甲基亞砜/甲醇混合物表面張力測量(一)
> 噻噸酮光敏劑體系:光電轉換與顯色特性的深度解析
> 溫度、締合強度、截斷半徑對球形空腔中締合流體界面張力的影響(二)
> 溫度、締合強度、截斷半徑對球形空腔中締合流體界面張力的影響(一)
> 一文讀懂什么是超微量天平
> LiF-CaF?-Yb?O?熔鹽體系表面張力的測定及其對Ni-Yb合金電解的指導意義(二)
α-環糊精對非離子表面活性劑和兩性離子表面活性劑混合體系的界面及自組裝性質——實驗
來源:上海謂載 瀏覽 1847 次 發布時間:2021-12-22
實驗
二甲基十二烷基氨基丙烷磺酸鹽(DPS;≥來自Fluka、癸酰-N-甲基葡糖苷(Mega-10;98%純)、α-CD和RB的99%)(~收到時使用來自Sigma的95%純度)。所有溶液均在從電阻率為18.2 MΩcm的Direct-Q微孔系統中獲得的Milli-Q水中制備。
方法
使用芬蘭Kibron公司的EZ-PI界面張力計測量界面張力[23]。該儀器配有傳感器探頭和反應杯支架。將4 ml表面活性劑溶液引入反應杯并放置在反應杯支架上。所有測量均在24.0±1°C下進行。
使用熒光偏振儀系統(Beacon 2000)在25.0±0.2°C下進行所有熒光各向異性測量。RB用作熒光探針,其濃度保持在0.1μM。分別使用570和630 nm的激發和發射波長測量熒光各向異性。當發射偏振器平行或垂直于偏振激發方向時,每個熒光強度稱為I||或I┴,分別地各向異性是強度差(I||-I)的比率┴)總強度(I||+2I)┴)如等式1[24,25]所示:
給出的各向異性值是十個讀數的平均值。
核磁共振
核磁共振譜記錄在BRUKER DRX600核磁共振光譜儀上,該光譜儀在14.1 T的場強下工作。分別在1 mM的Mega-10和DPS溶液中,用小份的α-環糊精滴定,最終濃度分別為64.7和68.1 mM。1D?在每個濃度下記錄1H-NMR譜。對于這兩種表面活性劑,使用CH3基團的化學位移來跟蹤絡合物的形成。
在任何給定的α-環糊精濃度下,結合表面活性劑分子的分數都可以通過其信號的化學位移來確定。客體分子在束縛態(δ束縛態)和自由態(δ自由態)有不同的化學位移。在自由形式和束縛形式之間的平衡以及這兩種狀態之間的交換率(比共振頻率差快)的情況下,將僅觀察到一個具有觀測到的化學位移(δobs)的信號,即δ束縛和δ自由之間的加權平均數。對于以下內容,我們定義了觀察到的化學位移變化(?δobs)和結合時化學位移的變化(?δ界):
兩者之間的比率?δobs與?因此,δ束縛態相當于束縛客體分子的摩爾分數:
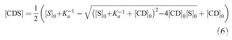
[CDS]可以從關聯常數的定義中分離出來:

式中,[CD]f是自由主體分子的濃度,即CD,[S]f是自由客體分子的濃度,即表面活性劑,[CD]是絡合物的濃度,即環糊精-表面活性劑絡合物。
Ka通過將等式6與[CDS]與[CD]0的實驗數據擬合而確定。在式6中,CD0和S0分別為總環糊精和總表面活性劑濃度。
從含有100 mMα-CD和1 mM洗滌劑的溶液中確定δ結合的初始估計值。這是合理的,因為我們滴定的化學位移高達約70 mMα-CD,已接近最終值。δ界的初始值用于擬合Ka的初始值。Ka值隨后用于確定δ界的理論值。重復該過程,直到Ka和δ界的值收斂。
在含有50 mMα-CD和50 mM表面活性劑的樣品上,獲得了混合時間為250 ms的二維旋轉框架懸置效應光譜(2D-ROESY)。以(180°×180°)的順序實現旋轉鎖定?×)場強為2.5 kHz的脈沖。借助2QF-COSY光譜對CD和表面活性劑共振進行分配。





