合作客戶/
拜耳公司 |
同濟大學 |
聯合大學 |
美國保潔 |
美國強生 |
瑞士羅氏 |
相關新聞Info
推薦新聞Info
-
> 二甲亞砜與二甲苯異構體混合物的體積收縮與表面張力降低效應(二)
> 二甲亞砜與二甲苯異構體混合物的體積收縮與表面張力降低效應(一)
> 表面能與表面張力對凍干制劑中“小瓶霧化”現象的影響機制研究
> 新型懸滴實驗系統的研制與二甲基亞砜/甲醇混合物表面張力測量(二)
> 新型懸滴實驗系統的研制與二甲基亞砜/甲醇混合物表面張力測量(一)
> 噻噸酮光敏劑體系:光電轉換與顯色特性的深度解析
> 溫度、締合強度、截斷半徑對球形空腔中締合流體界面張力的影響(二)
> 溫度、締合強度、截斷半徑對球形空腔中締合流體界面張力的影響(一)
> 一文讀懂什么是超微量天平
> LiF-CaF?-Yb?O?熔鹽體系表面張力的測定及其對Ni-Yb合金電解的指導意義(二)
陽離子、陰離子的界面潤濕行為——結果和討論
來源:上海謂載 瀏覽 3936 次 發布時間:2021-12-13
3.結果和討論
在溶菌酶存在和不存在的情況下,不同種類表面活性劑的物理化學和熱力學性質如下所述:
3.1.臨界膠束濃度
如表1所示,對于純陽離子(即CTAB)和陰離子(即SDBS)表面活性劑以及溶菌酶,cmc值隨著溫度的升高而增加,而對于非離子表面活性劑(即TX-100),cmc值降低。對于離子表面活性劑,與CTAB相比,SDBS的增加更高,并且在溶菌酶存在的情況下,也觀察到兩種情況下的輕微增加(表1)。對于非離子表面活性劑(即TX-100),觀察到的變化非常微小。值得一提的是,離子型兩親分子的cmc首先在低溫下降低,在高溫下升高[23],而對于非離子表面活性劑,cmc隨著溫度的升高而降低[24]。除離子系統外,在某些情況下還報告了cmc隨溫度的持續增加[25,26]。
3.2.界面性質
空氣/水界面吸附的有效測量方法是通過表面過剩量,Γmax(mol?m-2),通過吉布斯吸附方程計算[27]:
和每個分子的最小面積,Amin(?2),通過以下等式[27]:
式中,R、T和NA分別為氣體常數、溫度(單位:開爾文)和阿伏伽德羅數;n的引入允許同時吸附陽離子和陰離子,離子表面活性劑取2,非離子表面活性劑取1,離子表面活性劑取1(?γ/?logC)表示γ與logC之間的曲線斜率。
Γmax和Amin的值如表1所示。Γ最大值隨著溫度的升高而減小,其中隨著Amin值的增加。因此,如果三種表面活性劑均為純表面活性劑,并且存在溶菌酶,則這兩個因素相互補充,這表明這些系統同時涉及靜電和疏水作用[28]。在離子表面活性劑的情況下,與CTAB相比,SDBS的Γmax值下降更多,這表明SDBS和溶菌酶之間形成的復合物比CTAB和溶菌酶更有利。同時,阿明的增加與Γmax相反。
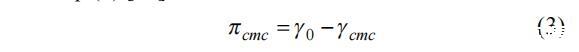
根據式(3)[29]計算cmc下的表面壓力πcmc:
其中γ0和γcmc是指本研究中溶菌酶水溶液溶劑系統的表面張力和cmc值下溶液的表面張力。其值在TX-100的情況下最大,而在離子表面活性劑的情況下,SDB的值高于CTAB,因為其疏水性更強。
式(4)中給出的pC20值(C20是將溶劑表面張力降低20 m所需的濃度?納米?1[27]),隨著α1的增加而增加。
pC20的值越大,降低該值20 mN所需的濃度越低?M?1.這一結果表明,該系統具有更高的表面活性。
表1在不同溫度下,在溶菌酶存在和不存在的情況下,不同表面活性劑的各種界面性質(cmc、Γmax、Amin、πcmc和pC20)
在溶菌酶存在和不存在的情況下,不同表面活性劑的各種熱力學參數(0D Gm、0D Gads、0D Hm、0D Hads、0D Sm和0D Sads)
3.3.膠束化和吸附的熱力學性質
利用不同的熱力學方程計算了空氣/水界面以及膠束中的幾個熱力學參數。這些熱力學參數恰當地代表了系統的可行性。膠束化的標準吉伯自由能0 D Gm可由式(5)計算:
式中,Xcmc是cmc的摩爾分數單位值。
如表2所示,所有0d Gm值均為負值,表明膠束形成過程是自發的,總體趨勢表明,與溶菌酶存在時相比,純表面活性劑的0d Gm值更為負值。隨著溫度的升高,所有情況下的值都變得更為負值。結果表明,與CTAB和TX-100相比,溶菌酶存在下SDBS的膠束化過程更有利。
膠束化的標準熵(0dsm)是根據膠束化的標準吉布斯自由能的溫度依賴性,使用關系式(6)[30,31]計算得出的:
膠束化的標準焓(0d Hm)由吉布斯-亥姆霍茲方程得出:
對于所研究的系統,0D Sm值(表2)為正值,表明純SDB的值比CTAB最大,而TX-100的值比離子表面活性劑低得多。此外,放熱的0D Hm表明,與熵效應一樣,焓變有利于膠束化。0D Hm值(見表2)解釋了所有三種表面活性劑的不同趨勢。對于SDB,溶菌酶存在時該值趨于增加,而對于CTAB,溶菌酶存在時該值顯著降低。對于TX-100,在溶菌酶存在的情況下,0 D Hm的值幾乎沒有變化。
使用公式(8)[32]計算在cmc下獲得的最大吸附摩爾自由能Gmin:
Gmin是給定表面上完全吸附的兩親分子的最小自由能。自由能值越低,形成的表面越穩定。在沒有溶菌酶的情況下,TX-100的Gmin值最小,CTAB的Gmin值最大,而TX-100的Gmin值幾乎沒有變化,CTAB的Gmin值略有增加,SDBS的Gmin值顯著增加(圖1)。
圖1。不同表面活性劑在溶菌酶存在和不存在時Gmin隨溫度的變化
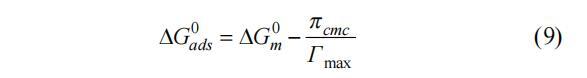
使用公式(9)[33]評估標準吉布斯吸附能D Ga0 ds:
式中,πcmc=γ0–γcmc是cmc處的表面壓力;γ0和γcmc分別是純溶劑和兩親性溶液在cmc處的表面張力。在所有情況下,DGa0 ds的值與0 D Gm的值的趨勢相同,但其值略為負值。
0 D Hads和DSa0 ds(表2)的值根據等式進行評估。(10)和(11),如前所述,根據與等式對應的關系。(6)及(七):
DSa0 ds值也為正值,但在所有情況下略大于0 D Sm值,這反映了與膠束內表面相比,表面活性劑碳氫化合物部分在平面空氣/水溶液界面的運動自由度更大。在溶菌酶存在的情況下,離子表面活性劑的DSa0 ds值降低,與CTAB相比,SDBS的降低更為顯著。對于TX-100,該值略有增加。0d Hads值在所有情況下均為負值,與0d Hm相比,其量級略低,但趨勢與0d Hm相同。
3.4.結構對膠束化和吸附的影響
根據Rosen[34]的規定,計算了在零表面壓力下,在沒有或存在溶菌酶的情況下,將表面活性劑分子從單層轉移到膠束中所涉及的工作(0 0 mic ads D G G-D),并在表3中列出。如表3所示,“轉移功”(即,相對于膠束化的容易程度,在零表面壓力下易于吸附形成單層)幾乎沒有變化,除了在溶菌酶存在下SDB的情況下,溫度從298 K變化到318 K。此外,0 mic ads D G-D的正值表明吸附時的正熵變大于膠束化[35]。
3.5.潤濕性
為了探索CTAB、SDBS和TX-100(含和不含溶菌酶)對PMMA的潤濕行為,觀察了cmc上、下方以及cmc處的接觸角值(圖2)。
圖2。在溶菌酶存在和不存在的情況下,不同種類表面活性劑的濃度與接觸角曲線圖
表3在不存在和存在溶菌酶的情況下,結構對不同表面活性劑膠束化和吸附的影響
從圖2可以看出,在沒有溶菌酶的情況下,CTAB的接觸角值最大,其次是SDB,在PMMA上觀察到TX-100的最小值。此外,與CTAB相比,SDBS中的接觸角值更小,因為SDBS比CTAB更具親水性。數據還顯示,TX-100的固液相互作用最大,因為存在聚氧乙烯基。此類表面活性劑的吸附最初通過其環氧乙烷基團和吸附劑表面之間的氫鍵進行[36,37],從而產生TX-100的最小接觸角值。此外,在溶菌酶存在的情況下,由于疏水-疏水相互作用,所有三種表面活性劑的接觸角值(PMMA上純溶菌酶為63.80)都會降低,但TX-100的下降幅度最大。因此,有人認為,在存在溶菌酶的情況下,PMMA在氣道-水界面上的潤濕性更高,而在CTAB和SDBS(存在溶菌酶的情況下)的情況下,由于CTAB溶菌酶和SDBS溶菌酶之間形成強烈的復合物,這種效應與沒有溶菌酶的情況相反。這種強復合物的形成實際上是由于溶菌酶(天冬氨酸)上的負電荷,由于正電荷的性質,溶菌酶(天冬氨酸)與CTAB緊密結合。





