合作客戶/
拜耳公司 |
同濟大學 |
聯合大學 |
美國保潔 |
美國強生 |
瑞士羅氏 |
相關新聞Info
推薦新聞Info
-
> 表面張力、XPS試驗研究DDA或TPA在鋰云母表面的吸附機理——試驗結果分析與討論、結論
> 表面張力、XPS試驗研究DDA或TPA在鋰云母表面的吸附機理——試驗原料及研究方法
> 超微量天平應用于珊瑚鍶-鈣溫度計的研究
> ?90%實驗室不知道:表面張力儀讀數誤差的隱秘來源與終極解決方案
> 基于LB膜技術制備膠原蛋白肽覆層羥基磷灰石的新方法——結果與討論、結論
> 基于LB膜技術制備膠原蛋白肽覆層羥基磷灰石的新方法——摘要、材料與方法
> 離子組成、pH值對納米SiO2/SDS體系降低油水界面張力的影響(三)
> 離子組成、pH值對納米SiO2/SDS體系降低油水界面張力的影響(二)
> 離子組成、pH值對納米SiO2/SDS體系降低油水界面張力的影響(一)
> 豬肉、雞肉和魚肉肌漿蛋白油-水界面性質、氨基酸組成、蛋白質構象研究(三)
雙子型起泡劑ULT-1的分子結構式、表面張力、抗溫/抗鹽性能及煤樣潤濕性變化——實驗
來源:中南大學學報(自然科學版) 瀏覽 67 次 發布時間:2025-08-26
2實驗
2.1材料與儀器
材料有:1-十二烷醇C12H25OH,化學純,濟寧宏明化學試劑有限公司生產;四丁基硫酸氫銨(TBAHS)Bu4NHSO4,分析純,天津致遠化學試劑有限公司;1,3-丙二醇HOCH2CH2CH2OH,分析純,濟寧宏明化學試劑有限公司生產;環氧氯丙烷C3H5ClO,化學純,濟寧宏明化學試劑有限公司生產;氫氧化鈉NaOH,分析純,濟寧宏明化學試劑有限公司生產;無水乙醇C?H?OH,化學純,濟寧宏明化學試劑有限公司生產;BF3-乙醚溶液,北京化工廠生產;氯磺酸HSO3Cl,化學純,成都化夏化學試劑有限公司生產;去離子水,分析純,實驗室自制。
儀器有:傅里葉變換紅外光譜儀,高分辨質譜儀,Bruker公司制造;接觸角/表面張力測量儀,芬蘭Kibron公司制造;高速變頻無級調速攪拌機,青島同春石油儀器有限公司制造;電熱恒溫鼓風干燥箱,電動攪拌機,數控恒溫油水浴鍋,旋轉蒸發儀,北京神泰偉業科技有限公司制造;電子天平,上海舜宇恒平科學儀器有限公司制造;三口燒瓶、恒壓滴液漏斗、量筒、分液漏斗、燒杯、錐形瓶、球形冷凝管、保溫漏斗、酒精燈。
2.2起泡劑ULT-1的合成
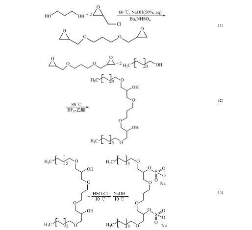
在三口燒瓶中加入1,3-丙二醇、環氧氯丙烷和四丁基硫酸氫銨,在40~50℃下攪拌。用恒壓滴液漏斗滴加質量分數為50%NaOH水溶液,繼續在40~60℃攪拌2 h。用分液漏斗分出上層有機相,加入乙醇,熱過濾除去無機鹽,旋蒸除去乙醇和環氧氯丙烷,干燥得到環氧醚。在三口燒瓶中加入1-十二醇,BF3-乙醚溶液,攪拌片刻升溫至30~40℃,在攪拌條件下逐滴加入上步產物環氧醚,滴完后升溫至60~80℃,攪拌5 h,用分液漏斗分出上層有機相,旋蒸除去十二醇和環氧醚,干燥得到醇醚。在三口燒瓶中加入上步產物醇醚,攪拌,在10~20℃時非常緩慢地滴加氯磺酸,采用尾氣回收裝置除去氯化氫氣體,攪拌3 h,加入乙醇,熱過濾除去無機鹽,旋蒸除去乙醇,干燥得到最終產物起泡劑ULT-1。反應原理如下列:
2.3起泡劑ULT-1的結構表征
1)紅外光譜分析。將中間產物環氧醚和醇醚采用液膜法制樣,新型起泡劑ULT-1采用溴化鉀壓片法制樣,利用傅里葉變換紅外光譜儀表征其分子結構。
2)質譜分析。將研制的新型起泡劑ULT-1用甲醇溶解,利用高分辨質譜儀采用電噴霧質譜法(ESI?MS)表征其分子結構。
2.4起泡劑ULT-1的性能評價
1)表面張力。在室溫下,利用接觸角/表面張力測量儀,通過最大拉力法測定一系列不同質量分數起泡劑ULT-1水溶液的表面張力。
2)起泡性能。在室溫下,參照中國石油天然氣行業標準SY/T 5350—2009“鉆井液用發泡劑評價程序”的測試方法,評價一系列不同質量分數起泡劑ULT-1水溶液的起泡性能,包括發泡體積和半衰期,同時評價常規起泡劑十二烷基硫酸鈉、十二烷基苯磺酸鈉、十二烷基二甲基甜菜堿的泡沫半衰期進行對比。
3)抗鹽性能。在室溫下,參照中國石油天然氣行業標準SY/T 5350—2009“鉆井液用發泡劑評價程序”的測試方法,評價質量分數0.2%的起泡劑ULT-1水溶液抗NaCl污染的能力。
4)抗溫性能。在一定溫度下,參照中國石油天然氣行業標準SY/T 5350—2009“鉆井液用發泡劑評價程序”的測試方法,評價質量分數為0.2%的起泡劑ULT-1水溶液的抗溫性能。
5)煤樣潤濕性。在室溫下,利用接觸角/表面張力測量儀,通過五點擬合法分別測量純水在原始煤樣(煤樣A)、質量分數為0.2%的起泡劑ULT-1水溶液浸泡1 h烘干的煤樣(煤樣B)、質量分數為0.2%的起泡劑ULT-1水溶液浸泡1 h后,低速水流沖洗1 h烘干的煤樣(煤樣C)表面的接觸角,測定起泡劑ULT-1對煤樣潤濕性能的影響。實驗中所用煤樣取自滇東黔西地區,需經過以下步驟處理:用砂紙(6μm)將各個煤塊的上下兩面磨至水平,再用細毛刷清除研磨時掉下的黏附在煤面上的煤粒和砂粒,然后用細砂紙(1.8μm)將各個煤塊的上、下兩面磨至光滑,進行拋光處理,最后用細毛刷清除研磨時掉下的黏附在煤面上的煤粒和砂粒,得到上、下兩面水平光滑的待測煤樣。
雙子型起泡劑ULT-1的分子結構式、表面張力、抗溫/抗鹽性能及煤樣潤濕性變化——摘要





