合作客戶/
拜耳公司 |
同濟大學 |
聯合大學 |
美國保潔 |
美國強生 |
瑞士羅氏 |
相關新聞Info
-
> 高鐵/汽車用T700級碳纖維環氧樹脂的黏度表面張力、微觀浸潤性研究
> 鈉鉀離子濃度對礦井水和純水表面張力、噴霧霧化特性的影響(一)
> 草甘膦藥液表面張力變化對其物理性狀與生物活性的影響
> 3種常見醇類燃料甲醇、乙醇、正丁醇噴霧特性與表面張力的關系(二)
> 新研究的海水基耐高溫驅油壓裂液界面張力值等性能優于常規驅油壓裂液產品
> 新型多功能解堵體系-單相酸體系乳化、界面張力測定及現場應用效果(一)
> 溫度對甜菜堿短鏈氟碳表面活性劑表面張力、鋪展、發泡性能影響(三)
> 表面張力在封閉腔體自然對流換熱中的角色深度分析
> 槐糖脂屬于微生物源表面活性劑
> 表面張力儀試驗原理和方法解析
推薦新聞Info
-
> 嵌段比例對溫敏聚合物表面張力的影響及臨界膠束濃度分析(三)
> 嵌段比例對溫敏聚合物表面張力的影響及臨界膠束濃度分析(二)
> 嵌段比例對溫敏聚合物表面張力的影響及臨界膠束濃度分析(一)
> 溫度和碳碳雙鍵數對脂肪酸酯表面張力的影響(二)
> 溫度和碳碳雙鍵數對脂肪酸酯表面張力的影響(一)
> 二甲亞砜與二甲苯異構體混合物的體積收縮與表面張力降低效應(二)
> 二甲亞砜與二甲苯異構體混合物的體積收縮與表面張力降低效應(一)
> 表面能與表面張力對凍干制劑中“小瓶霧化”現象的影響機制研究
> 新型懸滴實驗系統的研制與二甲基亞砜/甲醇混合物表面張力測量(二)
> 新型懸滴實驗系統的研制與二甲基亞砜/甲醇混合物表面張力測量(一)
中性聚合物鍵合劑(NPBA)與奧克托今(HMX)界面張力測定及應用效果(三)
來源:兵工學報 瀏覽 907 次 發布時間:2025-06-13
2.2 NPBA與HMX界面作用的實驗結果
2.2.1 NPBA與HMX的粘附功和界面張力
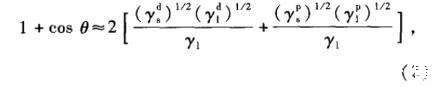
采用動態接觸角測試儀的Wilhelmy吊片法和Modified washburn法,分別測試了合成的3種NPBA和HMX在不同液體中的接觸角θ,結果見表3.
表3 NPBA和HMX在不同液體中的接觸角
由表3中測試結果,應用Owens-Wendt-Rabel-Kaelble(OWRK)表面張力計算方法,分別擬合得到3種NPBA和HMX的表面張力γ、極性分量γp和非極性分量γd(結果見表4),計算公式如下:
表4 NPBA和HMX的表面張力
由表4中測試結果,計算得到3種NPBA分別與HMX之間的界面張力γAB為
計算得到3種NPBA分別與HMX之間的粘附功WAB.界面張力和粘附功計算結果見表5.
表5 NPBA與HMX之間的界面張力和粘附功
由表5可知,NPBA3與HMX的粘附功最大(113.34 mN/m),且界面張力最小(4.81 mN/m),表明3種NPBA中NPBA3與HMX的浸潤性(粘結性)最好,且外力破壞粘接界面需做的功(粘結強度)最大。與NPBA1相比,雖然NPBA2與HMX的粘附功相對較大(分別為75.06 mN/m和78.38 mN/m),但其界面張力相對也大(分別為21.51 mN/m和24.12 mN/m),表明NPBA2與HMX的粘結強度大于NPBA1,但浸潤性略弱。
從上述實驗結果可知,用—COOCH2CH2OH基團取代—COOCH3基團(用HEA取代MA鏈節),或增加—CN基團數量(增加AN鏈節),NPBA更容易吸附于HMX顆粒表面,增強了二者間的粘結性;同時,增加—CN基團數量,或用—COOCH3基團取代—COOCH2CH2OH基團,有利于NPBA在HMX顆粒表面浸潤和鋪展,增強了二者間的親和性。
2.2.2 NPBA對推進劑力學性能的影響
分別在-40℃、20℃、50℃溫度條件下,采用單向拉伸實驗得到了含與不含NPBA推進劑的最大拉伸強度σm和最大伸長率εm,其結果見表6.
由表6可知,加入NPBA后,推進劑的強度得到不同程度的提高,表明3種NPBA均有效吸附于HMX顆粒表面,并與固化劑發生交聯反應,從而顯著提高了推進劑的強度。3種NPBA中,NPBA3提高推進劑強度的程度最為顯著,NPBA2次之,NPBA1再次,與粘附功的大小次序一致。
此外,比較表6中的伸長率數據可知,相對于NPBA1和NPBA3,—OH基團數量最多的NPBA2提高推進劑伸長率的程度最小,原因可能是—OH基團數量過多導致鍵合劑與粘結劑過度交聯,反而對推進劑的伸長率造成不利影響。
表6 NPBA對推進劑力學性能的影響
上述實驗結果與2.1節中模擬結果相符,結合能與粘附功之間存在對應關系,即NPBA與HMX的結合能越大其粘結性能越好,增加推進劑強度的效果越好。
3結論
1)HMX與NPBA界面原子間存在近程、遠程范德華力和氫鍵作用力,這些作用力的強弱與—CN基團的數量、—COOCH2CH2OH基團的數量及其空間位阻作用有關。
2)NPBA與HMX的粘附功與結合能之間存在對應關系,即二者間的粘附功越大其結合能越大;用—COOCH2CH2OH基團取代—COOCH3基團,或增加—CN基團數量,整體上增強了NPBA與HMX晶體的界面作用力,使復合體系結合能增加,推進劑強度增大。
3)本文采用的MD模擬方法對于研究NPBA與HMX之間的界面作用具有較高的準確度,可用于指導NPBA分子設計。





