合作客戶/
拜耳公司 |
同濟大學 |
聯合大學 |
美國保潔 |
美國強生 |
瑞士羅氏 |
相關新聞Info
推薦新聞Info
-
> 溫度和碳碳雙鍵數對脂肪酸酯表面張力的影響(二)
> 溫度和碳碳雙鍵數對脂肪酸酯表面張力的影響(一)
> 二甲亞砜與二甲苯異構體混合物的體積收縮與表面張力降低效應(二)
> 二甲亞砜與二甲苯異構體混合物的體積收縮與表面張力降低效應(一)
> 表面能與表面張力對凍干制劑中“小瓶霧化”現象的影響機制研究
> 新型懸滴實驗系統的研制與二甲基亞砜/甲醇混合物表面張力測量(二)
> 新型懸滴實驗系統的研制與二甲基亞砜/甲醇混合物表面張力測量(一)
> 噻噸酮光敏劑體系:光電轉換與顯色特性的深度解析
> 溫度、締合強度、截斷半徑對球形空腔中締合流體界面張力的影響(二)
> 溫度、締合強度、截斷半徑對球形空腔中締合流體界面張力的影響(一)
鋼筆里的毛細作用與表面張力【干貨】
來源:知乎 瀏覽 2724 次 發布時間:2021-10-15
本文旨在通過物理的手段來分析和解決一些常見的鋼筆方面問題,在選題、分析的過程中難免受限于個人知識水平和表達的局限,如果有不同的見解,或者其他感興趣的話題,都歡迎在評論區進行討論。需要注意的是,復雜的實際情況并不是真空中的球形雞,要求一套理論能夠解釋和預測所有情況,不是一個合格的工程師應該有的思維,只要能局部成立、把事情講清楚的理論就是好理論。
目錄
一、前言
二、基本概念
三、理想狀態下的導墨系統
四、鰭片
五、“起筆飛白”的成因及解決方案
六、“水槍”的成因及解決方案
七、“斷墨”的成因及解決方案
一、前言
“表面張力”這個詞在日常生活中被提及的次數非常多,以至于很多并沒有系統學習過相關知識的朋友,也以為自己理解了——幾年前我自己也是這么以為的,直到現在做表面活性劑相關的項目做了一年多才有了更深的理解。
在正式開始之前,這里摘錄一段話:液體具有內聚性和吸附性,這兩者都是分子引力的表現形式。內聚性使液體能抵抗拉伸應力,而吸附性則使液體可以黏附在其他物體上面。
二、基本概念
浸潤
液體在與固體接觸時,沿固體表面擴展而相互附著的現象,又稱為液體浸潤固體,也可稱為潤濕。當附著力大于內聚力時,會發生液體浸潤。
θ<90°為浸潤
θ的測量方法
毛細作用
毛細作用是指浸潤液體在細管里升高的現象(和不浸潤液體在細管里降低的現象,本文僅討論浸潤液體的情形)。
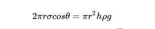
有關“毛細作用”這里展開說明一下,雖然字面意思和實際現象都很容易理解,但他的本質實際上是液體和毛細管間吸引力要大于液體內部的吸引力,導致在界面處存在一個拉力,把液體往高處拉,最終達到的平衡就是這個拉力和重力的平衡。(ps拉力的大小就與浸潤角直接相關)。
等式左邊為拉力合,右邊為水柱重力
而整體來看,液體分子間的力與液體表面積有關,界面處的作用力則跟接觸的周長相關。如果通道足夠細,則內聚的力會小于吸附的力;而當通道變寬時(r增大),內聚力的提高(或者理解為水重量的上升)高于吸附力的提升的。因此只有“毛細管”才能看到明顯的“毛細作用”,因為此時吸附力是遠大于內聚力的。
三、理想狀態下的導墨系統
“導墨系統”是我自己為了方便描述給的概念,大體上包括了儲存墨水的墨囊/上墨器/活塞腔體,直接插入儲墨部分的毛細管,筆舌,和筆尖上的氣孔。這些部件并不一定在每一支筆上都存在,也有可能集成在了一起,但他們大致上發揮的作用是一致的。
中間兩排的零件即組成了所謂“導墨系統”,包括了第一排的金片、筆舌、筆舌總成套筒,第二排的筆握、上墨器。
至于活塞鋼筆,他們主要是上墨和儲墨的結構不太一樣,“差動式活塞”的原理可以看我很早以前的一篇答案:
https://www.zhihu.com/question/56641752/answer/150216188
先拋開儲墨部分不談,只考慮“出墨”的部分。
如果我們設想一種結構最為簡單的筆——蘸水筆,甚至是直接由兩片金屬夾在一起制成的鴨嘴筆。在這里由于吸附力的緣故,可以有一定體積的墨水被攜帶在筆上,不會由于重力而全部滴下來。當筆尖接觸到紙面上,可以認為未吸水紙張,對于液體的吸附能力要遠遠強于儲存墨水的筆尖,因此墨水會迅速地轉移到紙上,而當紙張的纖維已經吸水飽和后,就不再具有這個效果,使得剩下的墨水仍然留在筆尖上。
鴨嘴筆可以參考我去年一篇文章:
https://zhuanlan.zhihu.com/p/78312713
鴨嘴筆蘸墨的狀態
而帶有儲墨裝置的鋼筆,則是需要毛細管先將墨水從儲存處吸出(這里就是典型的毛細作用),將其導入到筆尖氣孔處。鋼筆筆尖的開叉則類似于一個導墨槽,雖然筆尖和筆舌接觸的部分都內含了足夠多的墨水,但達到紙面前最終的一小段距離還是靠這段開縫和最前端的銥粒。
可以看到從氣孔到筆尖這段開縫上,有很多墨水。事實上即使你想用紙巾完全擦干凈都不太可能。
中縫到銥粒這段距離的開縫,包括銥粒的打磨方式對寫字時下水流暢度影響相當大
筆尖氣孔對于墨水流出的過程并無很大幫助,甚至它對于維持內部氣壓平衡的作用也有限(因為由很多別的孔可以起到類似的效果)。個人認為氣孔最主要的作用,其實是上墨的時候不用把筆握完全浸入墨水中,這對一些容易染色的筆握是很關鍵的。
四、鰭片
鰭片就是存在于筆舌下方,平行排列的一系列薄片。
筆尖下面就是稱為“鰭片”的部分
在筆尖裝入總成后,有一部分被植入進總成內,而相當一部分則留在了外面。內部的鰭片對于毛細把墨水吸出的幫助很明顯,但外部鰭片能夠起到的作用相當有限——這也是為什么很多品牌實際上取消了這個設計。

派克筆舌的設計就很有代表性,它內部還是有非常細密的鰭片,但外部卻很“光滑”
百樂capless由于其按動出尖的設計,鰭片根本沒有存在的空間
五、“起筆飛白”的成因及解決方案
如果一支筆只在每次剛開始用的第一筆時寫不出墨,而一旦出墨以后卻能保持順暢不間斷,這種現象我們稱之為“起筆飛白”。
它的原因很簡單,就是墨水在剛開始的時候被困在了筆尖里,無法與紙張相接觸而造成的,這與筆尖結構、墨水性質和紙張性質都有一定的關系。
1、筆尖(銥粒)結構導致的“嬰兒屁股”
這里引用國外論壇常用的一個詞,叫“嬰兒屁股”,它指的是一種中縫處過分內凹的銥粒構造(但往往是大銥粒,再加上過度打磨造成的)。墨水在中縫處本來就會形成一個內凹的液面(原理參考液體的內聚性和吸附性),銥粒突出的部分接觸紙面時,這個內凹的液面卻是很難碰到紙的,因此也就使得第一筆寫的時候無法出墨了。
而連續的書寫時,這部分“斷路”一直都有墨水存在,也就不會中斷了。因此“起筆飛白”和“出墨斷續”其實是兩個不同的問題。
具體的原理在這篇回答里面有詳細的展開。
https://www.zhihu.com/question/386369723/answer/1150747247
2.解決方案
思路非常簡單,就是需要保證中縫里的墨水能夠順利接觸到墨水。那么最簡單的就是換一個流動性更好的墨水,或者吸水性更強的紙(有關墨水的“流動性”,下一篇文章會專門用一個章節詳細介紹)。
但如果單純只考慮從鋼筆層面的改動呢?
比較簡單的方法是拿小刀片調整中縫的開縫大小,和筆尖與筆舌間的距離,使更多的墨水能夠到達銥粒這邊,靠重力也能克服最后內凹的這點距離。這一步驟俗稱“刀尖”。只要不刮花金屬鍍層,基本上整個過程還是可逆的,就算一次下來效果不滿意也有進一步調整的余地。比如刀得太寬了,還能捏一捏再讓他緊一點。注意這里我們并不是要把中縫一味地開大,而是調整到合適的寬度,因為太寬墨水還是會留在中縫里,太窄又無法順利地從筆舌那邊引過來。
進一步的,可以想辦法磨平這部分突出的銥粒,讓中縫能夠直接接觸紙面。如果不想下手磨,其實忍一忍用個一個月,靠日常的書寫也能比較自然地達到這個效果。這個方法缺點當然就是不可逆,一旦磨過頭這個筆尖基本上也就廢了。
一句經驗之談送給各位:基本上沒有用壞的鋼筆,筆都是自己修壞的。
六、“水槍”的成因及解決方案
翻譯一下,“水槍”其實就是指下水過于充沛的夸張說法,它一般出墨量還是挺均勻的,就是有些過于多了,雖然在非常快速地簽名時這可能是個優點,但想要拿來慢慢寫小字的話,它會造成筆畫過粗、同時干得也很慢的毛病。
但很遺憾的是,水槍一般是鋼筆從出廠就帶上的“設定”,且我個人認為這并不是一個問題,而是廠家對于鋼筆定位的選擇。它單純從鋼筆本身來說很難被改變,如果你不喜歡這種下水很多的筆,應該從一開始就避免購買,而不是后來再想辦法解決。
一定程度的改善還是可以做到的,但仍然需要從墨水著手,選用流動性更差的墨水就可以顯著地提高使用體驗,哪怕萬寶龍現產M尖的筆也可以正常在橫線的本子上使用。具體內容敬請關注下一期有關墨水的文章。
七、“斷墨”的成因及解決方案
“斷墨”一般指書寫連續筆畫的過程中,出現了墨水供應不勻的情況。這種問題其實比“起筆飛白”更加惱火,因為飛白也就剛開始的第一下,而斷墨誰也不知道會發生在什么地方,斷了再回過頭來補一筆確實是太難受了。
它產生的原因其實不完全是供墨系統上,比如一種常見的情況:手長時間接觸在紙上,把一部分油脂留在了上面,那筆在寫上去的時候,由于疏水作用墨水就無法出來了。這在一些有涂層處理、拋光過的紙張上尤其容易出現,比如Rhodia的上翻本,和巴川紙之類的。
另外就是鋼筆本身的緣故了,可能內部的毛細存在堵塞,墨水并不是連續出來的。更進一步的原因可能是長時間沒有使用、也沒有清洗,水分蒸發后留有一部分固體沉積在內產生堵塞;或者混用不同墨水,造成聚沉;以及很少見的,毛細本身工藝不合格,有沒有疏通的部分。
這些都可以通過徹底的拆洗而得到很好的解決,一般鋼筆配送的說明書上都告訴你洗筆只要反復吸清水再浸泡就夠了,但實際上不拆開你真的不知道里面都積了多少年的陳年舊墨,尤其是之前用過傳統碳素墨水的,直接能洗下一層泥出來。





